2023年遼寧省成人高校招生專業目錄
2023-08-30 來源:教育在線
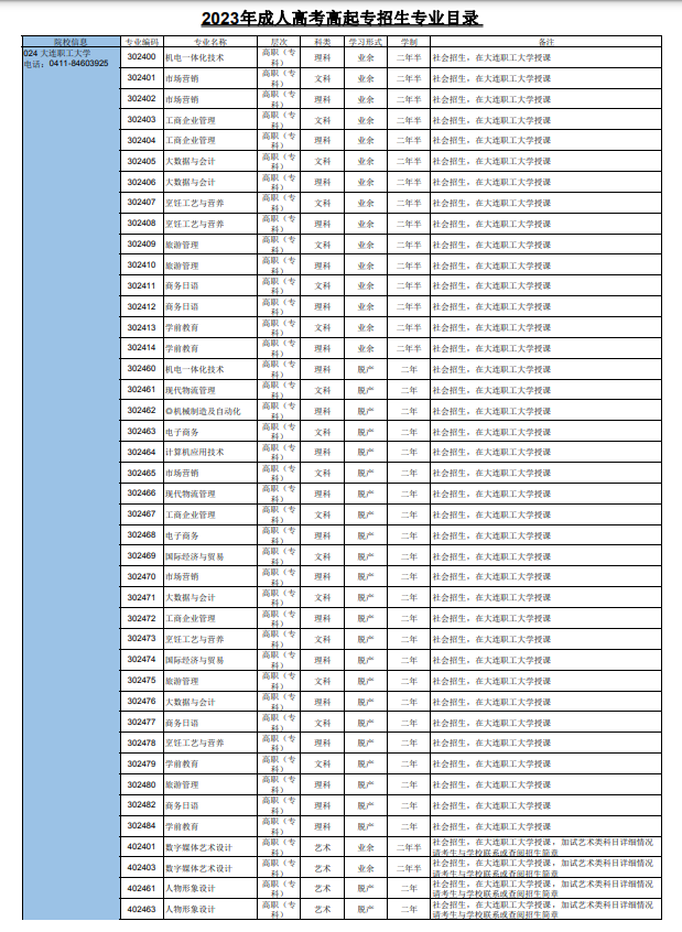
【導語】教育在線成人高考頻道在遼寧招生考試之窗了解到關于《2023年遼寧省成人高校招生專業目錄》已公布,具體如下:
2023年遼寧省成人高校招生專業目錄
2023年遼寧省成人高校招生考試報名即將開始,現公布2023年遼寧省成人高校招生專業目錄,供考生查閱。


附件:
熱門推薦:
成人高考有疑問、不知道如何選擇主考院校及專業、不清楚成考當地政策,點擊立即了解>>
推薦閱讀:

2023-08-30 來源:教育在線
【導語】教育在線成人高考頻道在遼寧招生考試之窗了解到關于《2023年遼寧省成人高校招生專業目錄》已公布,具體如下:
2023年遼寧省成人高校招生專業目錄
2023年遼寧省成人高校招生考試報名即將開始,現公布2023年遼寧省成人高校招生專業目錄,供考生查閱。


附件:
熱門推薦:
成人高考有疑問、不知道如何選擇主考院校及專業、不清楚成考當地政策,點擊立即了解>>
推薦閱讀:

(一)由于考試政策等各方面情況的不斷調整與變化,本網站所提供的考試信息僅供參考,請以權威部門公布的正式信息為準。
(二)本網站在文章內容出處標注為其他平臺的稿件均為轉載稿,免費轉載出于非商業性學習目的,歸原作者所有。如您對內容、版權等問題存在異議請與本站聯系,我們會及時進行處理解決。


